
Trong lĩnh vực xây dựng và công nghiệp, việc lựa chọn vật liệu phù hợp đóng vai trò then chốt. Kích thước sắt hộp chữ nhật là một trong những yếu tố quan trọng, ảnh hưởng trực tiếp đến độ bền, tính an toàn và hiệu quả kinh tế của công trình. Hiểu rõ về các thông số kỹ thuật, quy cách đa dạng cùng bảng giá cập nhật sẽ giúp bạn đưa ra quyết định tối ưu nhất. Bài viết này cung cấp thông tin chi tiết và chuyên sâu về sắt hộp chữ nhật, giúp bạn nắm vững mọi khía cạnh cần thiết.

Phân loại và Ứng dụng của Sắt Hộp Chữ Nhật
Sắt hộp chữ nhật, với đặc trưng là cấu trúc rỗng bên trong và mặt cắt hình chữ nhật, đã trở thành vật liệu không thể thiếu trong nhiều ngành nghề. Cấu trúc này mang lại sự cân bằng lý tưởng giữa khả năng chịu lực và trọng lượng nhẹ, thuận tiện cho việc vận chuyển, thi công. Hàm lượng cacbon cao trong thép cấu thành nên độ bền và tuổi thọ ấn tượng, đảm bảo sự vững chắc cho mọi công trình.
Phổ biến nhất trên thị trường hiện nay là hai dòng sản phẩm chính: thép hộp đen và thép hộp mạ kẽm. Mỗi loại mang những đặc tính và ưu điểm riêng biệt, phục vụ cho các mục đích ứng dụng khác nhau.
1. Sắt Hộp Chữ Nhật Đen
Sắt hộp chữ nhật đen là loại thép có lớp oxit sắt tự nhiên trên bề mặt, không qua xử lý chống ăn mòn bề mặt. Loại này có độ bền cơ học tốt, khả năng chịu lực cao và giá thành thường hợp lý hơn. Tuy nhiên, nhược điểm là dễ bị ảnh hưởng bởi môi trường, có thể bị oxy hóa, gỉ sét nếu tiếp xúc trực tiếp với nước, độ ẩm cao hoặc các hóa chất ăn mòn.
Ứng dụng phổ biến của thép hộp đen:
- Khung sườn cho các công trình dân dụng, nhà xưởng, nhà tiền chế.
- Làm các kết cấu nội thất, ngoại thất ít chịu tác động trực tiếp từ môi trường khắc nghiệt.
- Sử dụng trong các ứng dụng cơ khí chế tạo, bàn ghế, kệ kho.
2. Sắt Hộp Chữ Nhật Mạ Kẽm
Sắt hộp chữ nhật mạ kẽm được bao phủ bởi một lớp kẽm bảo vệ bên ngoài. Lớp mạ này không chỉ mang lại vẻ ngoài sáng bóng, thẩm mỹ mà còn là lá chắn hiệu quả, ngăn chặn quá trình oxy hóa, ăn mòn. Nhờ vậy, thép hộp mạ kẽm có tuổi thọ cao hơn đáng kể, khả năng chống chịu thời tiết khắc nghiệt vượt trội.
Ứng dụng phổ biến của thép hộp mạ kẽm:
- Các công trình xây dựng ngoài trời, chịu ảnh hưởng trực tiếp của mưa, nắng, độ ẩm.
- Hệ thống giàn giáo, kết cấu cầu thang, ban công.
- Ngành công nghiệp đóng tàu, các thiết bị yêu cầu khả năng chống ăn mòn cao.
- Hệ thống đường ống, khung nhà kính, công trình trang trại.

Thông số Kỹ thuật và Quy cách Sắt Hộp Chữ Nhật Tiêu chuẩn
Sắt hộp chữ nhật được sản xuất theo nhiều tiêu chuẩn quốc tế khác nhau, đảm bảo chất lượng và tính tương thích trong các dự án. Các tiêu chuẩn phổ biến bao gồm ASTM A500, JIS G3466 (STKR, STKMR), và các mác thép thông dụng như SS400.
Quy cách kích thước sắt hộp chữ nhật rất đa dạng, phục vụ mọi yêu cầu thiết kế từ nhỏ đến lớn. Các thông số chính bao gồm:
- Kích thước (Dài x Rộng): Biến đổi từ các loại nhỏ như 10×20 mm, 13×26 mm lên đến các kích thước lớn như 100×200 mm, 200×300 mm.
- Độ dày thành thép: Phổ biến từ 0.70 mm đến 8.00 mm, thậm chí dày hơn cho các ứng dụng chịu lực cao.
- Chiều dài tiêu chuẩn: Thông thường là 6 mét, nhưng có thể tùy chỉnh theo đơn đặt hàng.
Sự phong phú về quy cách cho phép người dùng dễ dàng tìm thấy sản phẩm phù hợp nhất với nhu cầu cụ thể, từ các chi tiết nhỏ trong nội thất đến các cấu kiện chịu lực chính trong các tòa nhà lớn.
So sánh Ưu điểm và Hạn chế: Thép Hộp Đen vs. Thép Hộp Mạ Kẽm
Việc lựa chọn giữa thép hộp đen và thép hộp mạ kẽm phụ thuộc vào yêu cầu về môi trường ứng dụng, ngân sách và tuổi thọ mong muốn.
| Tiêu chí | Sắt Hộp Chữ Nhật Đen | Sắt Hộp Chữ Nhật Mạ Kẽm |
|---|---|---|
| Ưu điểm | – Chi phí thấp hơn. – Độ bền cơ học cao. – Dễ gia công, hàn nối. |
– Chống ăn mòn, gỉ sét vượt trội. – Tuổi thọ cao (15-20 năm hoặc hơn). – Bề mặt sáng bóng, thẩm mỹ. – Ít cần bảo trì. |
| Hạn chế | – Dễ bị ăn mòn, gỉ sét nếu tiếp xúc môi trường ẩm, hóa chất. – Tuổi thọ thấp hơn (10-15 năm). |
– Chi phí ban đầu cao hơn. – Lớp mạ kẽm có thể bị trầy xước nếu va đập mạnh. |
| Ứng dụng | Nội thất, nhà xưởng, kết cấu trong nhà. | Công trình ngoài trời, môi trường khắc nghiệt, dân dụng, công nghiệp nặng. |
| Khả năng chịu lực | Tốt, tương đương thép mạ kẽm với cùng quy cách. | Tốt, tương đương thép đen với cùng quy cách. |
Cả hai loại đều có chung những đặc điểm như khả năng chịu lực, chịu nhiệt tốt, trọng lượng nhẹ, dễ thi công và tạo hình, cùng mức giá tương đối hợp lý. Tuy nhiên, thép hộp mạ kẽm thể hiện ưu thế vượt trội về khả năng bảo vệ và tuổi thọ, đặc biệt trong các điều kiện môi trường khắc nghiệt.
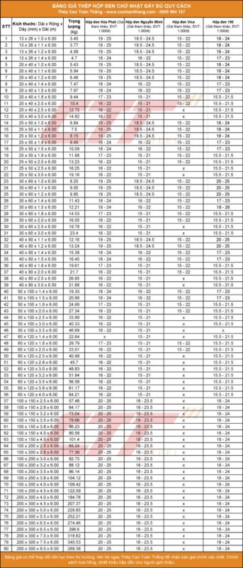
Bảng Giá Sắt Hộp Chữ Nhật Chi Tiết Nhất (Cập nhật liên tục)
Dưới đây là bảng giá tham khảo cho các loại sắt hộp chữ nhật đen và mạ kẽm, bao gồm nhiều kích thước và độ dày khác nhau từ các nhà sản xuất uy tín. Lưu ý rằng giá có thể thay đổi tùy thuộc vào biến động thị trường, số lượng đặt hàng và chính sách chiết khấu.
Bảng Giá Thép Hộp Chữ Nhật Đen Đầy Đủ Kích Thước
| STT | Kích thước (Dài x Rộng x Dày) mm | Trọng lượng (kg) | Hộp đen Hòa Phát (1000 VNĐ) | Hộp đen Nguyễn Minh (1000 VNĐ) | Hộp đen Visa (1000 VNĐ) | Hộp đen 190 (1000 VNĐ) |
|---|---|---|---|---|---|---|
| 1 | 13 x 26 x 1.0 | 3.45 | 19 – 25 | 18.5 – 24.5 | 15 – 22 | 18 – 24 |
| 2 | 13 x 26 x 1.1 | 3.77 | 19 – 25 | 18.5 – 24.5 | 15 – 22 | 18 – 24 |
| … | … | … | … | … | … | … |
| 8 | 20 x 40 x 1.4 | 7.47 | 18 – 24 | 16 – 22 | 15 – 22 | 17 – 23 |
| … | … | … | … | … | … | … |
| 20 | 25 x 50 x 2.0 | 13.23 | 16 – 22 | 15 – 21 | 15 – 22 | 15.5 – 21.5 |
| … | … | … | … | … | … | … |
| 37 | 40 x 80 x 2.0 | 21.7 | 16 – 22 | 15 – 21 | 15 – 22 | 15.5 – 21.5 |
| … | … | … | … | … | … | … |
| 45 | 50 x 100 x 3.0 | 40.33 | 16 – 22 | 15 – 21 | x | 15.5 – 21.5 |
| … | … | … | … | … | … | … |
| 56 | 60 x 120 x 4.0 | 64.21 | 16 – 22 | 15 – 21 | x | 15.5 – 21.5 |
| … | … | … | … | … | … | … |
| 70 | 100 x 200 x 4.0 | 109.42 | 20 – 25 | 18 – 23.5 | x | 18 – 24 |
| … | … | … | … | … | … | … |
| 80 | 200 x 300 x 8.0 | 289.38 | 20 – 25 | 18 – 23.5 | x | 18 – 24 |
Lưu ý: Bảng giá trên mang tính chất tham khảo. Vui lòng liên hệ trực tiếp để có báo giá chính xác nhất và thông tin về chiết khấu cho đơn hàng lớn.
Bảng Giá Sắt Hộp Chữ Nhật Mạ Kẽm Mới Nhất Thị Trường
| STT | Kích thước (Dài x Rộng x Dày) mm | Trọng lượng (kg) | Hộp mạ kẽm Hòa Phát (1000 VNĐ) | Hộp mạ kẽm Nguyễn Minh (1000 VNĐ) | Hộp mạ kẽm Visa (1000 VNĐ) | Hộp mạ kẽm 190 (1000 VNĐ) | Hộp mạ kẽm Nam Hưng (1000 VNĐ) | Hộp mạ kẽm Hoa Sen (1000 VNĐ) |
|---|---|---|---|---|---|---|---|---|
| 1 | 13 x 26 x 1.0 | 3.45 | 18 – 24 | 17 – 23 | 16 – 22 | 17 – 25 | 16.5 – 22.5 | 20 – 26 |
| 2 | 13 x 26 x 1.1 | 3.77 | 18 – 24 | 17 – 23 | 16 – 22 | 17 – 25 | 16.5 – 22.5 | 20 – 26 |
| … | … | … | … | … | … | … | … | … |
| 8 | 20 x 40 x 1.4 | 7.47 | 18 – 24 | 17 – 23 | 16 – 22 | 17 – 25 | 16.5 – 22.5 | 20 – 26 |
| … | … | … | … | … | … | … | … | … |
| 20 | 25 x 50 x 2.0 | 13.23 | 18 – 24 | 17 – 23 | 16 – 22 | 17 – 25 | 16.5 – 22.5 | x |
| … | … | … | … | … | … | … | … | … |
| 37 | 40 x 80 x 2.0 | 21.7 | 18 – 24 | 17 – 23 | 16 – 22 | 17 – 25 | 16.5 – 22.5 | 20 – 26 |
| … | … | … | … | … | … | … | … | … |
| 45 | 50 x 100 x 3.0 | 40.33 | x | 17 – 23 | x | 17 – 25 | 16.5 – 22.5 | x |
| … | … | … | … | … | … | … | … | … |
| 52 | 60 x 120 x 3.0 | 48.83 | x | 17 – 23 | x | 17 – 25 | x | x |
Lưu ý: Giá trên là giá tham khảo. Để nhận báo giá chính xác và cập nhật nhất, vui lòng liên hệ với chúng tôi.
Quy Cách Kích Thước Sắt Hộp Chữ Nhật Phổ Biến và Tra Cứu
Dưới đây là bảng tra cứu các quy cách kích thước sắt hộp chữ nhật tiêu chuẩn, bao gồm các kích thước phổ biến và độ dày tương ứng.
| Kích thước (mm) | Độ dày sắt hộp chữ nhật (mm) |
|---|---|
| 10×20 | 0.28, 0.33, 0.37, 0.42, 0.46, 0.51, 0.55 |
| 13×26 | 0.37, 0.43, 0.49, 0.55, 0.60, 0.66, 0.72, 0.84, 0.90 |
| 20×40 | 0.56, 0.66, 0.75, 0.84, 0.93, 1.03, 1.12, 1.30, 1.40, 1.60, 1.67, 1.85 |
| 25×50 | 0.70, 0.82, 0.94, 1.05, 1.17, 1.29, 1.40, 1.63, 1.75, 1.98, 2.09, 2.32, 2.67, 2.90 |
| 30×60 | 0.99, 1.13, 1.27, 1.41, 1.55, 1.68, 1.96, 2.10, 2.38, 2.52, 2.80, 3.21, 3.48, 3.90, 4.17 |
| 40×80 | 1.50, 1.69, 1.88, 2.06, 2.25, 2.62, 2.81, 3.18, 3.37, 3.74, 4.29, 4.66, 5.21, 5.58 |
| 50×100 | 2.11, 2.35, 2.58, 2.82, 3.28, 3.52, 3.98, 4.21, 4.68, 5.38, 5.84, 6.53, 6.99 |
| 60×120 | 3.10, 3.38, 3.94, 4.22, 4.78, 5.06, 5.62, 6.46, 7.02, 7.85, 8.41 |
| 100×150 | 2.5, 2.8, 3.2, 3.5, 3.8, 4.0, 4.5 |
| 100×200 | 2.5, 2.8, 3.0, 3.2, 3.5, 3.8, 4.0, 4.5 |
Đây là bảng quy cách kích thước phổ biến nhất, ngoài ra còn có nhiều kích thước khác theo yêu cầu đặc biệt của khách hàng.
Các Thương Hiệu Sắt Hộp Chữ Nhật Nổi Tiếng
Thị trường thép Việt Nam ngày càng phát triển với sự góp mặt của nhiều thương hiệu uy tín, cung cấp sản phẩm sắt hộp chữ nhật chất lượng cao. Một số cái tên nổi bật bao gồm:
- Hòa Phát: Thương hiệu quốc gia, nổi tiếng với chất lượng đồng đều, ổn định và mạng lưới phân phối rộng khắp.
- Hoa Sen: Một trong những nhà sản xuất thép hàng đầu, đặc biệt mạnh về các sản phẩm mạ kẽm.
- Nam Hưng, Visa, 190: Các thương hiệu uy tín khác, cung cấp đa dạng sản phẩm với chất lượng được đánh giá cao.
Mỗi thương hiệu có những ưu điểm riêng về công nghệ sản xuất, dòng sản phẩm chủ lực và chính sách giá. Việc lựa chọn thương hiệu phù hợp sẽ giúp đảm bảo chất lượng công trình và tối ưu chi phí đầu tư.
THÉP ĐẠI PHÁT LỘC – Nhà Nhập Khẩu & Phân Phối Thép Hộp Chữ Nhật Uy Tín Toàn Quốc
Hiểu rõ tầm quan trọng của việc lựa chọn nhà cung cấp đáng tin cậy, CÔNG TY TNHH THÉP ĐẠI PHÁT LỘC tự hào là đối tác chiến lược cho mọi công trình. Với nhiều năm kinh nghiệm trong lĩnh vực nhập khẩu và kinh doanh thép ống, thép hình, chúng tôi cam kết mang đến cho khách hàng những sản phẩm kích thước sắt hộp chữ nhật chất lượng cao, giá cả cạnh tranh và dịch vụ chuyên nghiệp.
Vì sao chọn Thép Đại Phát Lộc?
- Chất lượng Đảm Bảo: Chúng tôi nhập khẩu trực tiếp từ các nhà sản xuất uy tín hàng đầu thế giới (Châu Âu, Nhật Bản, Nga, Ucraina, Trung Quốc, Hàn Quốc) và các nhà máy lớn trong nước, đảm bảo 100% hàng chính hãng, mới, không hư hại, đáp ứng đầy đủ tiêu chuẩn quốc tế.
- Đa Dạng Sản Phẩm: Cung cấp đầy đủ các loại thép ống, thép hình chữ nhật, thép hộp vuông, phụ kiện hàn, mặt bích với mọi quy cách, kích thước, độ dày.
- Giá Cả Cạnh Tranh: Tối ưu hóa chi phí nhập khẩu và hoạt động, mang đến mức giá tốt nhất thị trường, áp dụng chiết khấu hấp dẫn cho đơn hàng lớn.
- Uy Tín – Chất Lượng: Luôn đặt lợi ích và sự hài lòng của khách hàng lên hàng đầu với phương châm “UY TÍN – CHẤT LƯỢNG”.
- Tư Vấn Chuyên Nghiệp: Đội ngũ chuyên viên giàu kinh nghiệm sẵn sàng tư vấn giải pháp tối ưu cho từng dự án.
- Hỗ Trợ Vận Chuyển: Cam kết giao hàng nhanh chóng, an toàn đến tận công trình trên toàn quốc.
Chúng tôi cam kết cung cấp đầy đủ chứng nhận chất lượng (CO, CQ) và hóa đơn chứng từ liên quan. Hãy liên hệ với Thép Đại Phát Lộc ngay hôm nay để nhận báo giá chi tiết và tư vấn giải pháp thép phù hợp nhất cho dự án của bạn.
